一、概述
化学药物制剂生物等效性评价,通常采用平均生物等效性(Average bioequivalence, ABE)方法,等效标准为受试制剂与参比制剂的主要药动学参数(AUC和Cmax)几何均值比的90%置信区间落在80.00%~125.00%范围内。
某些药物由于生物利用度过低、酸不稳定、吸收前的广泛代谢等原因,导致一个或多个药动学参数的个体内变异系数(Within-subject coefficient of variation, CVW%)大于或等于30%,称为高变异药物(Highly variable drug, HVD)。在其他因素不变的情况下,随着个体内变异增加,生物等效性研究所需受试者数量也会相应增加。对于高变异药物,采用常规样本量和等效性判定标准,有时即使参比制剂与自身相比较,也可能出现不能证明其生物等效的情况。
对于安全性较好、治疗窗较宽的高变异药物,在充分科学论证的基础上和保证公众用药安全、有效的前提下,通过部分重复或完全重复交叉设计,根据参比制剂的个体内变异,采用参比制剂标度的平均生物等效性(Reference-scaled average bioequivalence, RSABE)方法,将等效性判定标准在80.00%~125.00%的基础上适当放宽,可减少不必要的人群暴露,达到科学评价不同制剂是否生物等效的目的。
当采用RSABE方法进行生物等效性评价时,应首先根据药物体内过程特点等因素,分析造成药物制剂高变异特征的可能原因,结合预试验或文献报道结果,充分论证和评估采用该方法进行生物等效性评价的适用性。采用部分重复或完全重复交叉设计,在符合《药物临床试验质量管理规范》(GCP)相关要求的条件下,正式试验获得的参比制剂药动学参数个体内变异系数大于或等于30%时,方可适用RSABE方法进行生物等效性评价。
本指导原则旨在为开展以药动学参数为主要终点指标的高变异化学药物生物等效性研究时,如何进行研究设计、样本量估算、统计分析、结果报告等方面提供技术指导。
二、研究总体设计
研究总体设计的目标为采用科学的方法最大程度地降低生物等效性评价的偏倚。
(一)试验设计
应根据药物特点,综合考虑拟定的统计分析方法、受试者可获得性、残留效应等因素,选择非重复交叉设计、重复交叉设计或平行组设计。
1. 交叉设计
(1)非重复交叉设计
非重复交叉设计是生物等效性研究常采用的标准设计,即两制剂、两周期、两序列、交叉设计。对于高变异药物,由于个体内变异较大,采用此种设计进行生物等效性研究时,需要适当增加样本量,以满足试验的检验效能。
(2)重复交叉设计
重复交叉设计可分为三周期部分重复(仅重复使用参比制剂)和四周期完全重复(重复使用参比制剂和受试制剂)交叉设计。重复交叉设计可保证同一受试者至少服用参比制剂两次,获得确切的参比制剂个体内变异系数,以决定是否采用RSABE方法进行生物等效性分析。常采用的重复交叉设计见表1和表2。
2. 平行组设计
特殊情况下(例如长半衰期药物)可采用平行组设计。与交叉设计相比,平行组设计需要更大的样本量。
一般应采用单次给药进行高变异药物的生物等效性研究。若基于安全性考虑,需入选正在进行药物治疗且治疗不可间断的患者,可在多次给药达稳态后,采用ABE方法进行高变异药物的生物等效性评价。
试验设计的其他要求可参考《以药动学参数为终点评价指标的化学药物仿制药人体生物等效性研究技术指导原则》及《生物等效性研究的统计学指导原则》。
(二)样本量估计
试验前需充分估计所需的样本量,以保证足够的检验效能。对于ABE方法,可综合考虑试验设计、检验水准、检验效能、制剂间平均生物利用度可能的差异、参比制剂药动学参数的个体内变异,建议充分考虑研究过程中可能的受试者脱落等因素,进行样本量估计。具体参见《生物等效性研究的统计学指导原则》。
RSABE方法的样本量估计可通过计算机模拟的方法;也可将参比制剂的个体内标准差SWR视为常数,先求得经调整的等效性界值,再代入到相应设计下基于ABE方法的计算公式求算,建议适当增加样本量进行保守估计。
三、统计分析方法
应在研究方案和统计分析计划中提前制定生物等效性分析方法,若选择非重复交叉设计或平行组设计,应采用ABE方法;若选择部分重复或完全重复交叉设计,则可采用ABE方法或RSABE方法。与ABE方法相比,RSABE方法依据参比制剂的个体内变异适当放宽了等效性判定标准。
(一)平均生物等效性方法
采用ABE方法评价时,应以主要药动学参数(AUC和Cmax)几何均值比的90%置信区间落在80.00%~125.00%的范围内为等效标准。
(二)参比制剂标度的平均生物等效性方法
RSABE法主要分为下列三步:
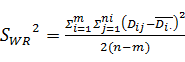
1. 计算参比制剂的个体内标准差(SWR)采用部分重复或完全重复交叉设计,可获得受试者两次服用参比制剂后,主要药动学参数的个体内标准差(SWR),SWR可通过公式1计算:
(公式1)
其中,i为研究中的序列编号(m在部分重复和完全重复交叉设计中分别为3和2,ni为第i个序列中受试者人数);j为序列内受试者编号;Dij(Rij1-Rij2)代表参比制剂两次给药后自然对数转化后药动学参数的差值;
;n为研究中受试者总人数。不同药动学参数的SWR需分别计算。
SWR与CVW%存在以下换算关系:
(公式2)
若SWR≥0.294,即CVW%≥30%,可采用RSABE方法进行等效性评价(应用于AUC、Cmax两者之中任意一个或全部采用)。若SWR<0.294,即CVW%<30%,则应采用ABE方法评价生物等效性。
2. 计算以下算式的单侧95%置信区间上限(Upper bound of 95% confidence interval)
运用Howe一阶逼近法来确定
的单侧95%置信区间上限。式中
和
分别表示在受试制剂和参比制剂的生物等效性研究中分别获得的自然对数转换的AUC或Cmax的均值。
(公式3)
σw0为法规限度(Regulatory limit, 一般取σw0=0.25)。
3. 等效性判断标准
若
的单侧95%置信区间上限小于等于零,同时,制剂间主要药动学参数的几何均值比(Geometric mean ratio, GMR)的点估计值在80.00%~125.00%范围内,可判定受试制剂与参比制剂的药动学评价指标(AUC或Cmax)具有生物等效性。只有AUC和Cmax均判定等效才可申明该制剂与参比制剂具有生物等效性。
四、报告总结与讨论
研究报告撰写内容除应符合生物等效性研究的一般技术要求外,还应重点进行高变异药物特征论证、风险评估及相应的数据分析报告。
(一)高变异特征论证
通常情况下,导致药物个体内高变异特征的潜在因素包括但不限于:
(1)胃肠道pH值、胃肠动力、胃排空、小肠转运和结肠驻留时间等影响生物利用度的生理因素;
(2)药物分布、首过代谢、全身代谢和清除等药物固有性质;
(3)溶解性等原料药的理化性质;
(4)药物溶出等制剂的处方因素;
(5)饮食等其他因素。
采用RSABE方法前,应基于已有的文献资料、预试验结果等,充分分析参比制剂生物药剂学特征和体内过程,估算主要药动学参数(AUC和/或Cmax)的个体内变异系数,充分论证采用RSABE方法的适用性。必要时,还需通过补充相关试验加以论证。
(二)风险评估
通常情况下,只有安全性较好、治疗窗较宽的高变异药物才可采用RSABE方法进行不同制剂的生物等效性的评价。由药物的固有属性、机体生理因素等引起的高变异性一般无法通过提高制剂和试验质量而消除,由于存在这种特性的参比制剂上市过程中已得到充分暴露并经过临床研究安全性和有效性证明,此时,采用RSABE方法进行生物等效性评价是可接受的。
采用RSABE方法进行统计分析,应进行严格科学的试验设计,试验通常应在同一中心完成,并应避免试验质量对个体内变异的估计引入偏倚。
对于由制剂质量或试验操作不当等原因引起的高变异,不适合采用RSABE方法。申办者应确保制剂质量的均一性及可控性,加强研究过程中的试验质量管理,并在研究报告中比较临床研究所获得的个体内变异与文献数据的差异,避免生物等效性判定标准的不当放宽。
(三)结果报告
根据文献或预试验的研究结果,明确正式试验所选择的试验设计类型和生物等效性统计方法,其中包括个体内变异结果与预期有差异时的备选统计方法。生物等效性研究报告除应符合《生物等效性研究的统计学指导原则》和临床试验数据管理相关技术要求以外,若采用RSABE方法,还应提供如下信息:
1. 药动学参数AUC0-t、AUC0-∞和Cmax的个体内标准差(SWR);
2. AUC0-t、AUC0-∞和Cmax的个体内变异系数(CVW%)及与文献相应数据的比较;
3.
的单侧95%置信区间上限;
4. AUC0-t、AUC0-∞和Cmax的几何均值比的点估计值。
五、特殊考虑
对于暴露量-效应曲线不平缓甚至陡峭的药物,如替格瑞洛、达比加群等,即使个体内变异系数大于30%,也不建议采用RSABE方法放宽等效性判断标准,以避免某些患者可能由于暴露量增加出现安全性风险。
含有高变异药物的复方制剂(例如缬沙坦氨氯地平片)在试验设计时应充分考虑单个药物的生物药剂学和药代动力学特点,根据其中个体内变异较高的药物进行相应样本量估计,各组成药物则应分别选择适宜的统计分析方法进行生物等效性分析。
六、参考文献
1. CFDA:以药动学参数为终点评价指标的化学药物仿制药人体生物等效性研究技术指导原则. 2016年3月.
2. CFDA:药物临床试验的生物统计学指导原则. 2016年6月.
3. FDA:Draft Guidance on Progesterone. Feb 2011.
4. Lawrence X. Yu, Bing V. Li. FDA Bioequivalence Standards. Jul 2014.
5. FDA:Draft Guidance on Dabigatran Etexilate Mesylate. Jul 2017.
附录
附件:


